赛博朋克2077
cyberpunk2077是CD Projekt RED开发的rpg游戏
经历了一次次跳票,终于在年底玩到这款游戏
小黑盒的评分

小黑盒社区的玩家评分并不高,很多人都很失望
cyberpunk2077是CD Projekt RED开发的rpg游戏
经历了一次次跳票,终于在年底玩到这款游戏
小黑盒的评分

小黑盒社区的玩家评分并不高,很多人都很失望
主要是对高数、概率论、线性代数、数值计算方法、数学建模的一些复习和补充
$$ P(B)=\sum_{i=1}^{n} P\left(A_{i}\right) P\left(B \mid A_{i}\right) $$
针孔相机模型和畸变模型把三维点投影到相机内的二维平面,构成相机的内参数(intrinsics)

根据三角形的相似性
$$ \frac{Z}{f}=-\frac{X}{X^{\prime}}=-\frac{Y}{Y^{\prime}} $$
把成像平面翻转到前面
随便记录一下

|
|
|
|
|
|
|
|
|
|
|
|
|
|
给一个铁路网,和每个火车所在的铁路(都在起点),每一时刻走一格,问有几辆车会相撞
编号相同的横向和列向火车会相撞
|
|
给一个数组,刚开始时可以选择将一个数改成任何数,也可以不改,做以下操作直到每个数相等
求二阶行列式
|
|
给n个问题,和答题情况,答对加1,答错减1(为0不扣分),初始分数x,求最终分数
与视觉slam有关的群
三维旋转矩阵构成了特殊正交群(special orthogonal group)
$$S O(3)=\left\{R \in \mathbb{R}^{3 \times 3} \mid R R^{T}=I, \operatorname{det}(R)=1\right\}$$
三维变换矩阵构成了特殊欧氏群(special euclidean group)
$$SE(3)=\left\{T=\left[\begin{array}{cc}R & t \\0^{T} & 1\end{array}\right] \in \mathbb{R}^{4 \times 4} \mid R \in SO(3), t \in \mathbb{R}^{3}\right\} $$
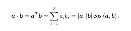
内积

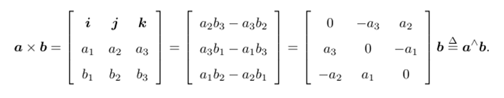
外积
定义 ^ 符号


euclidean transform
同一个向量在两个坐标系中的表示,坐标系的变换包括一次旋转和一次平移
很早就想写cmake,但是一直懒得写
今天也随便写点cmake
官方对cmake的解释
CMake is an open-source, cross-platform family of tools designed to build, test and package software. CMake is used to control the software compilation process using simple platform and compiler independent configuration files, and generate native makefiles and workspaces that can be used in the compiler environment of your choice. The suite of CMake tools were created by Kitware in response to the need for a powerful, cross-platform build environment for open-source projects such as ITK and VTK.
对于一个数列,每次操作交换相邻的两个数,问是否需要达到n(n-1)/2次操作才可以让数列递增
判断数列是否严格单调递减
|
|
给一数列,判断有多少对数满足 x & y >= x ^ y